导航
招生资讯|
当前位置:首页  研究生教育  招生  招生资讯

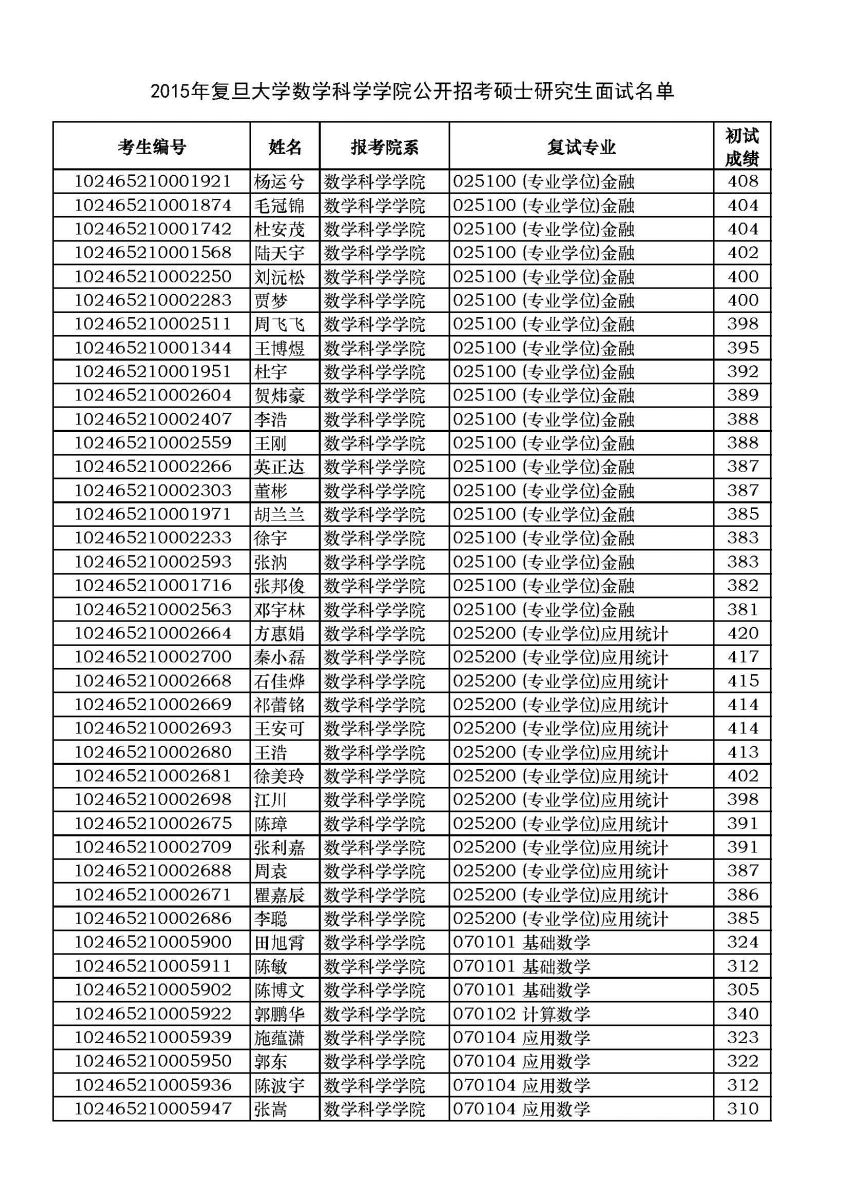
2015年复旦大学数学科学学院公开招考硕士研究生拟面试名单

发布者:系统管理员发布时间:2015-03-19浏览次数:20247

复试具体安排请查阅复旦大学研究生报考系统。

Copyright © |2012 复旦大学数学科学学院版权所有 沪ICP备042465